Generator für eine individuelle Temperaturtabelle aus einem Ptatin-Widerstand

-Temperaturmessung mit Pt100 / Pt1000 - Widerstandsthermometern-

Über die Pt100 - Seite

Dies ist eine Informationsseite über die elektr. Temperturmessung mit Widerstandthermometern (z.B. Pt100, Pt500, Pt1000 ) Es werden meine langjährigen Erfahrungen aus dem Bereich der Mess-und Regeltechnik festgehalten. Ich übernehme keinerlei Haftung für fehlerhafte Angaben und würde mich über weitere Anregungen und Ergänzungswünsche freuen.
Bitte besuchen Sie auch meine Informationsseite über Schwebekörper Durchflussmesser: https://schwebekoerper.de

Dipl.-Ing. Harald Peters

Lieferanten von Pt100

Links zu ausgewählten Herstellern und Lieferanten von Pt100 - Temperatursensoren.

Tools

Temperaturtabellen Kalkulator aus Pt1000 Widerstandswerten

Der Pt100/Pt1000 Sensor gehört zu den weltweit am häufigsten eingesetzten Temperaturfühlern in Industrie, Labor- und Messtechnik. Seine hohe Genauigkeit, Stabilität und Reproduzierbarkeit machen ihn zu einem unverzichtbaren Standard für zuverlässige Temperaturmessungen über einen großen Temperaturbereich hinweg. Besonders in Anwendungen, bei denen Präzision entscheidend ist, spielt der Pt100 seine Stärken voll aus.

Ein besonderer Vorteil dieses Rechners: Im Gegensatz zu vielen anderen Tools, die sich auf den Bereich von 0 °C bis +850 °C beschränken, deckt dieser Pt100 Kalkulator den vollständigen Temperaturbereich von -200 °C bis +850 °C ab. Dadurch eignet er sich auch ideal für Anwendungen im Tieftemperaturbereich.

Um Messwerte korrekt interpretieren zu können, ist eine Temperatur-/Widerstandstabelle für Pt1000 Sensoren unerlässlich. Genau hier setzt unser Rechner an: Er ermöglicht die individuelle Erstellung einer maßgeschneiderten Pt100 Temperaturtabelle auf Basis der gemessenen Widerstände.

Warum Pt1000 Temperaturtabellen wichtig sind?

Die Beziehung zwischen Temperatur und Widerstandswerten ist zwar annähernd linear, jedoch nicht exakt.
Deshalb werden für präzise Messungen standardisierte Tabellen verwendet, die die exakten Temperaturwerte für bestimmte Widerstandswerte angeben.

Der Pt1000 Rechner - Flexibilität und Präzision

Unser Pt100 Rechner wurde entwickelt, um Ingenieuren, Technikern und Entwicklern eine einfache und schnelle Möglichkeit zu bieten, individuelle Widerstandstabellen zu erstellen.
Dabei stehen verschiedene Eingabemöglichkeiten zur Verfügung:
  • Anfangswiderstand (ab 185,2 Ohm)
  • Endwiderstand (bis 3900,48 Ohm)
  • Tabellenunterteilung (1 / 2 / 5 / 10 / 50 / 100 Ohm)
  • Sensortyp (Pt100, Pt1000)
Durch diese flexible Konfiguration lässt sich die Tabelle exakt an die jeweilige Anwendung anpassen.
Ob für Laborexperimente, industrielle Prozessüberwachung oder die Entwicklung elektronischer Steuerungen – der Pt1000 Tabellen Kalkulator liefert jederzeit zuverlässige Ergebnisse – auch im erweiterten Temperaturbereich.


Eingabe ihrer Werte




von: Ohm Ohm





Berechnungsformeln für Temperatur aus einem Pt100 / Pt1000- Widerstand

Der Widerstand von Platin-Sensoren (Pt100/Pt1000) wird gem. DIN EN 60751 berechnet.
Nach Umstellen dieser Formeln erhält man die folgenden 2 Formeln zur Berechnung einer
Temperatur aus einem gemessenen Widerstand eines Platin-Temperatursensors (Pt100/Pt1000).
  • Widerstandsbereich: 185,2 bis <1000 Ohm (-200 bis <0°C):
    Nach Umstellen der DIN EN 60751 - Formel
    RT = R0 * (1 + A * T + B * T2 + C * (t-100) * T3) ,
    wird die Temperatur nach einem nummerischen Näherungsverfahren (Newton-Raphson-Algorithmus) berechnet.
    Auf die Details der Rechenmethode soll hier nicht eingegangen werden.

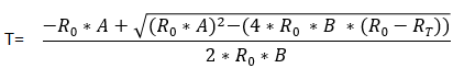
  • Widerstandsbereich: 1000 bis 3904,8 Ohm (0 bis 850°C):
    Formel Pt100 - Ohm in Temperatur umrechnen
RT=Widerstand bei gewünschter Temperatur
R0=Nennwiderstand Pt1000 bei 0°C = 1000 Ohm
T= Temperatur °C A= 3,9083 * 10-3
B= -5,775 * 10-7
C= -4,183 * 10-12

Hinweis zur Autorenschaft
Alle auf pt100.de veröffentlichten Fachartikel mit Namensnennung wurden von Harald Peters persönlich erstellt oder fachlich geprüft.
Autor dieses Artikels:
Harald Peters – Fachautor für Temperaturmesstechnik
Letzte Aktualisierung der Seite: 2026